
4.椭圆各量计算公式
|
椭圆各量 |
计 算 公 式 |
||
|
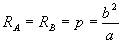
[曲率半径] R |
式中r1, r2为焦点半径, p为焦点参数, a 为点M(x, y)的焦点半径与切线的夹角.特别, 顶点的曲率半径
|
||
|
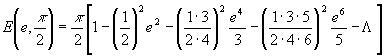
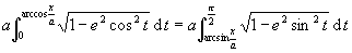
[弧长] |
式中e为离心率 |
||
|
[周长] L |
式中, 设 |
||
|
[面积] S |
扇形(OAM)面积 弓形(MAN)面积 椭 圆 面 积 S = p ab |
||
|
[几何重心] G |
椭 圆 形 G与O重合 半椭圆形 (a, b为椭圆的半轴长) |
|
|
|
[转动惯量] J |
椭圆的转轴通过b轴 式中m为质量 |
|
|