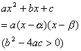
.有理函数积分的变量替换公式表

表中R表示有理函数

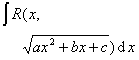
积分类型

变量替换公式

n为整数)

m,n为整数)

式中rn,m,…的最小公倍数

 

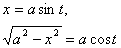
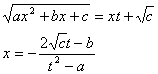
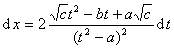
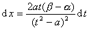
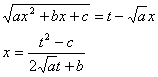
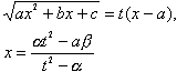
a>0时

 

 

c>0时

 

 

 

 

 

 

 

 

 

 

 

 

 

 

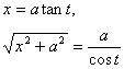
(或x=asht,

)

(或x=acost,

)

(或x=acht,

)

(或dx=achtdt

 

 

 

(或dx=-asintdt

 

 

 

(或dx=-ashtdt

 

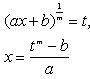
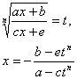
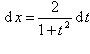
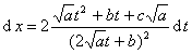
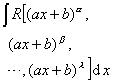
积分类型

变量替换公式

(式中为分数)

m的分母的最小公倍数,