4. 三角函数的基本关系和公式

[诱导公式]

三角函数的诱导公式表

函数

sin

cos

tan

cot

sec

csc

表中n为整数.

[基本关系]

                            

                                

         

三角函数的相互关系表

 

例如,若,则

[加法公式]

              

 

 

   

[和差与积互化公式]

[倍角公式]

式中n为正整数.

[半角公式]

下列公式中根号所取符号与等号左边的符号一致.

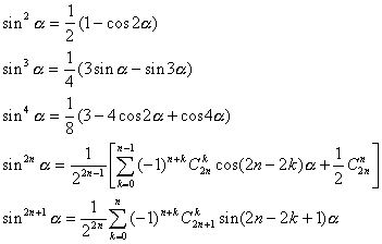
[降幂公式]

以上式中的n为正整数.

[三角函数有限和公式]