一、成组病例对照资料分析《预防医学》

一、成组病例对照资料分析

(一)资料整理的构架

成组病例对照研究资料可按表29-2所示的四格表整理。

表29-2 病例对照研究资料整理表

暴露史或特征病例对照合计
aba+b=n1
cdc+d=n0
合计a+c=m1b+d-m0a+b+c+d=T

从表29-2可见,病例对照研究对比的是病例组的曾暴露率即a/a+c和对照组的曾暴露率b/b+d。如a/a+c>b/b+d,并经统计学检验证实差异有统计学意义,则暴露与疾病有联系。

(二)资料分析

1.比较病例组和对照组的暴露比,并作x2检验。最简单的情况是因素与结局都只分为“有”或“无”两类,结果可归纳2×2表(表29-4)。

2.测定这两个比的差异有无统计学意义,可用一般四格表x2检验或修正x2检验。若两组差异有统计学意义,说明该暴露因素与疾病存在联系,则进一步求比值比。

3.求比值比某因素与某疾病如存在联系,则进一步估计其联系的强度。联系强度可用比值比(odds ratio,缩写为OR)估计。

比值(odds)是指某事物发生的概率与不发生的概率之比。从表29-4资料中,病例组和对照组有暴露史与无暴露史的概率分别为a/m1、c/m1、b/m0和d/m0

病例组的比值=a/m1/c/m1=a/c

对照组的比值=b/m0/d/m0=b/d

则比值比(odds ratio)=a/c/b/d=ad/bc

即  OR=ad/bc  公式(29.2)

当OR>1时,说明病例组的暴露频率大于非病例组的,即暴露有较高的发病危险性;反之,当OR<1时,说明病例组的暴露概率低于非病例组的,即暴露有保护作用。疾病与暴露联系愈密切,比值比的数值愈大。

4.计算比值比的可信限由于比值比是对这种联系程度的一个点估计,但是估计值总是有其变异性,计算出这个变异的区间有助于进一步了解联系的性质及程度,因此,需对OR值估计其可信区间。一般采用95%的可信限。

(29.3)

Z为正态离差值,

OR 95%可信限Z=1.96

OR 90%可信限Z=1.645

OR可信区间的计算除了有助于估计变异范围的大小外,还有助于检验OR值的判断意义,如区间跨越大,则判断暴露与疾病危险联系强度的作用小。

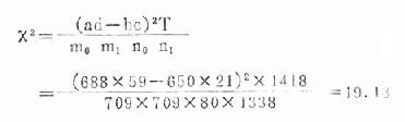
实例Doll和Hill在1950年报告吸烟与肺关系的病例对照研究结果如表29-3。

表29-3 吸烟与肺关系

吸烟史病人对照合计
6886501338
215980
合计7097091418

1.x2检验

自由度=1,P<0.001

2.计算比值比OR

3.计算OR95%可信限

故OR95%可信限为1.83~4.90

上一页:三、暴露因素的收集
当前页:一、成组病例对照资料分析
下一页:二、1:1配比病例对照资料分析

返回目录